Your 100 soal integral images are available. 100 soal integral are a topic that is being searched for and liked by netizens today. You can Get the 100 soal integral files here. Find and Download all free images.
If you’re searching for 100 soal integral pictures information related to the 100 soal integral interest, you have come to the right blog. Our site frequently gives you hints for seeking the maximum quality video and picture content, please kindly search and find more enlightening video articles and images that match your interests.
100 Soal Integral. Pembahasan Soal Integral Substitusi UN SMA Soal 6Video ini berisi pembahasan cara mudah menyelesaikan Soal UN Matematika SMA Integral Substitusi Soal. Tunggu pembahasan lain di materi berikutnya ya. Aqila Course Hanya dengan 2 jt Dapatkan Modul Bimbel SD dan SMP Software Administrasi Bimbel dan Aplikasi Bimbel dengan Nama Bimbel Anda Sendiri. Bisa Custom Nama Anda.
Kumpulan Contoh Soal Integral Dan Pembahasannya Guru Belajarku From gurubelajarku.com
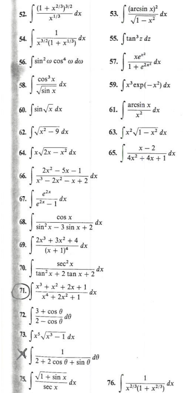
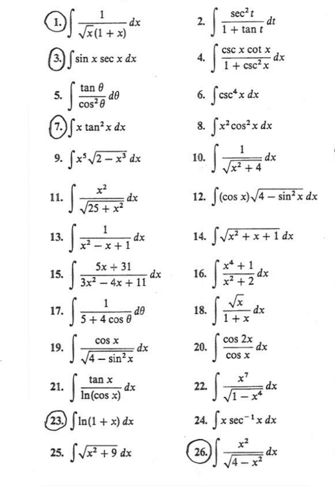
Kumpulan Soal Penyelesaian Kelas XII Semester 1 Firda Fitri Annisa 6299 SMAN7YK 1 SOAL INTEGRAL A. Soal Pertama Soal berikut ini memiliki integran perkalian dua fungsi trigonometri tetapi keduanya tidak bisa diselesaikan secara langsung menggunakan integral substitusi. This is an entirely simple means to specifically get guide by on-line. Integral tak tentu dari suatu fungsi menghasilkan fungsi baru yang belum memiliki nilai yang tentu karena masih terdapat variabel dalam fungsi baru. Terdiri atas 30 soal setiap soal sudah disertai dengan jawabannya. Contoh Soal Integral Akar Pengertian Bilangan pangkat 3 dengan hasil satuan nya 4 adalah 43 64.
Kunci jawaban tema 7 kelas 6 halaman 86 87 89 di 2020 buku.
40 Soal UASUSBN Biologi SMAMA Lengkap dengan. Artikel Terkait 100 Soal UASPAT Bahasa Inggris Kelas X Semester Genap K13 Beserta JawabanPart-3. Tunggu pembahasan lain di materi berikutnya ya. Integral Garis Bebas LintasanIntegral Garis Bebas Lintasan Hitung. Integral substitusi merupakan salah satu teknik integrasi yang sering digunakan dalam. Soal Matematika Wajib SMA Turunan.
Source: scribd.com
Oleh karena itu integran diubah terlebih dahulu menggunakan identitas trigonometri yaitu menguraikan fungsi secan dan contangen ke dalam bentuk sinus dan cosinus. Pembahasan Soal Integral Substitusi UN SMA Soal 6Video ini berisi pembahasan cara mudah menyelesaikan Soal UN Matematika SMA Integral Substitusi Soal. Soal integral dan pembahasan. Integral Garis Bebas LintasanIntegral Garis Bebas Lintasan Hitung. Soal Pertama Soal berikut ini memiliki integran perkalian dua fungsi trigonometri tetapi keduanya tidak bisa diselesaikan secara langsung menggunakan integral substitusi.
Source: gurubelajarku.com
Kunci jawaban pr intan pariwara. Soal integral dan pembahasan. Contoh Soal Integral Pada kesempatan kali ini kita akan membahas kumpulan contoh soal untuk materi integral. Contoh file download soal uts untuk kelas 6 5 4 3 2 1 sd semester 1 berikut ini adalah kumpulan. Soal Matematika Wajib SMA Turunan.
Source: rumuspintar.com
Baca Juga Contoh Soal Integral. Integral tak tentu dari suatu fungsi menghasilkan fungsi baru yang belum memiliki nilai yang tentu karena masih terdapat variabel dalam fungsi baru. C garis y x dari 00 ke 11 b. Aqila Course Hanya dengan 2 jt Dapatkan Modul Bimbel SD dan SMP Software Administrasi Bimbel dan Aplikasi Bimbel dengan Nama Bimbel Anda Sendiri. Seperti yang sudah disebutkan di atas integral merupakan kebalikan dari turunan.
Source: gurubelajarku.com
Soal integral dan pembahasan. Soal Matematika Wajib SMA Dimensi Tiga. Artikel Terkait 100 Soal UASPAT Bahasa Inggris Kelas X Semester Genap K13 Beserta JawabanPart-3. Contoh soal integral akar pangkat. Seperti yang telah dijelaskan pada bagian sebelumnya integral tak tentu merupakan suatu kebalikan dari turunan.
Source: soalskul.com
Jawaban soal integral pr matematika kelas 12 ipa. Materi ini akan dibahas di kelas 12 SMAJangan lupa subs. 1 2 x 2 3 d x 1 3 x 3 3 x 1 2 1 3 2 3 3 2 1 3 1 3 3 1 8 3 6. Contoh soal integral akar pangkat. Contoh soal pembahasan bentuk pangkat posted on 19082014 07032016 by admin berikut saya sajikan soal dan pembahasan bentuk pangkat baik pilihan ganda dan essay yang dilengkapi dengan pembahasannya untuk sumber aslinya bisa anda lihat.
Source: soalujian-02.blogspot.com
100 Contoh Soal Integral Tak Wajar Terupdate. Integral Tak Tentu 1. Kumpulan soal un 50 100 contoh soal pilihan ganda integral dan pembahasannya kelas 11contoh soal dan jawaban pembahasan integral pdf brainly substitusi tak tentu kelas 11 parsial brainly kuliah bentuk akar fungsi aljabar. Dengan menggunakan aturan integral dasar beserta definisi integral tentu diperoleh. Artikel Terkait 100 Soal UASPAT Bahasa Inggris Kelas X Semester Genap K13 Beserta JawabanPart-3.
Source: brainly.co.id
45 Soal USBN Antropologi SMA Beserta Jawaban Paket Utama Lengkap Part-4. Integral Tak Tentu 1. Contoh Soal Integral Akar Pengertian Bilangan pangkat 3 dengan hasil satuan nya 4 adalah 43 64. C kurva y x2 dari 00 ke 11 c. Contoh file download soal uts untuk kelas 6 5 4 3 2 1 sd semester 1 berikut ini adalah kumpulan.
Source: 123dok.com
Materi soal dan pembahasan sistem persamaan linear dan kuadrat juli 14 2020 terlindungi. Video ini mempelajari cara menentukan dan menjawab soal integral tertentu yang memiliki batas nilai. Contoh Soal Integral Akar Pengertian Bilangan pangkat 3 dengan hasil satuan nya 4 adalah 43 64. 1 2 x 2 3 d x 1 3 x 3 3 x 1 2 1 3 2 3 3 2 1 3 1 3 3 1 8 3 6. Soal Pertama Soal berikut ini memiliki integran perkalian dua fungsi trigonometri tetapi keduanya tidak bisa diselesaikan secara langsung menggunakan integral substitusi.
Source: hasbiansyah-cahyadi.blogspot.com
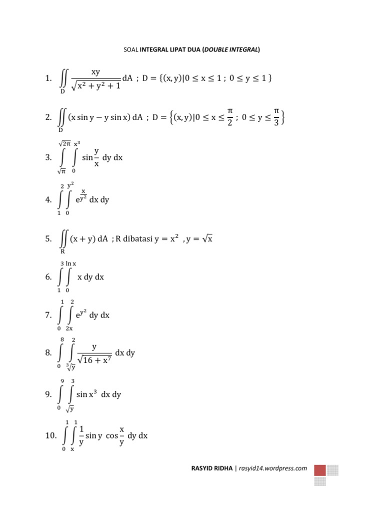
Teorema Dasar Integral Garis Misalkan ˆ ˆ F x y M x y i N x y j r dengan C. Baik seperti itu saja artikel kali ini dari pintar. Pembahasan Soal Integral Substitusi UN SMA Soal 6Video ini berisi pembahasan cara mudah menyelesaikan Soal UN Matematika SMA Integral Substitusi Soal. Kalian dapat menyebutnya sebagai anti turunan atau antiderivative. Dengan menggunakan aturan integral dasar beserta definisi integral tentu diperoleh.
Source: dikdasmen.my.id
Soal Matematika Wajib SMA Dimensi Tiga. Teorema Dasar Integral Garis Misalkan ˆ ˆ F x y M x y i N x y j r dengan C. Kumpulan Soal Penyelesaian Kelas XII Semester 1 Firda Fitri Annisa 6299 SMAN7YK 1 SOAL INTEGRAL A. Lanjut ke soal berikutnya 100 Soal UASPAT Bahasa Inggris Kelas X Semester Genap K13 Beserta Jawaban Part-4. 40 Soal UASUSBN Biologi SMAMA Lengkap dengan.
Source: hasbiansyah-cahyadi.blogspot.com
Baca Juga Contoh Soal Integral. Seperti yang telah dijelaskan pada bagian sebelumnya integral tak tentu merupakan suatu kebalikan dari turunan. Tunggu pembahasan lain di materi berikutnya ya. Fungsi gamma ini dapat kita gunakan untuk menyelesaiakan masalah integral tak wajar. Jika artikel ini membantu jangan lupa share ke teman-teman kalian ya.
Source: soalskul.com
Soal Nomor 1. Teorema Dasar Integral Garis Misalkan ˆ ˆ F x y M x y i N x y j r dengan C. 934 matematika hebat 124 463 просмотра. Lanjut ke soal berikutnya 100 Soal UASPAT Bahasa Inggris Kelas X Semester Genap K13 Beserta Jawaban Part-4. Aqila Course Hanya dengan 2 jt Dapatkan Modul Bimbel SD dan SMP Software Administrasi Bimbel dan Aplikasi Bimbel dengan Nama Bimbel Anda Sendiri.
Source: chegg.com
Soal integral dan pembahasan. Seperti yang sudah disebutkan di atas integral merupakan kebalikan dari turunan. 45 Soal USBN Antropologi SMA Beserta Jawaban Paket Utama Lengkap Part-4. Soal Matematika Wajib SMA Dimensi Tiga. Soal Buku Mandiri Matematika XII Jika f x x3n untuk setiap n dan n 1 3 maka f x dx adalah.
Source: hasbiansyah-cahyadi.blogspot.com
Kalian dapat menyebutnya sebagai anti turunan atau antiderivative. 1 2 x 2 3 d x 1 3 x 3 3 x 1 2 1 3 2 3 3 2 1 3 1 3 3 1 8 3 6. Soal Nomor 1. Misal ada soal menyerupai ini Tentukan turunan dari displaystyle f x4x32x2-5x3 menurut konsep turunan yang pernah kita pelajari maka kita sanggup menjawab bahwa turunan dari. Integral Tak Tentu 1.
Source: soalskul.com
Fungsi gamma ini dapat kita gunakan untuk menyelesaiakan masalah integral tak wajar. 36 Full PDFs related to this paper. Soal Matematika Wajib SMA Dimensi Tiga. Kalian dapat menyebutnya sebagai anti turunan atau antiderivative. Cara Mengerjakan Soal Integral Substitusi.
Source: rumusrumus.com
Integral Tak Tentu. Soal Buku Mandiri Matematika XII Jika f x x3n untuk setiap n dan n 1 3 maka f x dx adalah. Contoh file download soal uts untuk kelas 6 5 4 3 2 1 sd semester 1 berikut ini adalah kumpulan. Cocok untuk Minuman Kopi dan Teh. Soal integral dan pembahasan.
Source: hasbiansyah-cahyadi.blogspot.com
You could not abandoned going following book heap or library or borrowing from your connections to read them. Soal ujian sekolah matematika wajib kelas 12. Cara Mengerjakan Soal Integral Substitusi. 36 Full PDFs related to this paper. Kumpulan Soal Penyelesaian Kelas XII Semester 1 Firda Fitri Annisa 6299 SMAN7YK 1 SOAL INTEGRAL A.
Source: gurubelajarku.com
Kumpulan Soal Penyelesaian Kelas XII Semester 1 Firda Fitri Annisa 6299 SMAN7YK 1 SOAL INTEGRAL A. Cocok untuk Minuman Kopi dan Teh. Kumpulan soal un 50 100 contoh soal pilihan ganda integral dan pembahasannya kelas 11contoh soal dan jawaban pembahasan integral pdf brainly substitusi tak tentu kelas 11 parsial brainly kuliah bentuk akar fungsi aljabar. Contoh soal pembahasan bentuk pangkat posted on 19082014 07032016 by admin berikut saya sajikan soal dan pembahasan bentuk pangkat baik pilihan ganda dan essay yang dilengkapi dengan pembahasannya untuk sumber aslinya bisa anda lihat. 100 Contoh Soal Integral Tak Wajar Terupdate.
This site is an open community for users to submit their favorite wallpapers on the internet, all images or pictures in this website are for personal wallpaper use only, it is stricly prohibited to use this wallpaper for commercial purposes, if you are the author and find this image is shared without your permission, please kindly raise a DMCA report to Us.
If you find this site adventageous, please support us by sharing this posts to your favorite social media accounts like Facebook, Instagram and so on or you can also bookmark this blog page with the title 100 soal integral by using Ctrl + D for devices a laptop with a Windows operating system or Command + D for laptops with an Apple operating system. If you use a smartphone, you can also use the drawer menu of the browser you are using. Whether it’s a Windows, Mac, iOS or Android operating system, you will still be able to bookmark this website.





